Recently, Harmen P. Hendriksma and Sharoni Shafir of the Bee Research Center at the Hebrew University of Jerusalem, Rehovot, Israel published a paper entitled “Honey bee foragers balance colony nutritional deficiencies.” Anyone who knows me or my research might know that I have been waiting (slightly impatiently) for this full paper to become available. Finally, it has. And the results are exciting!
Basically, what I have said time and time again is backed up by scientific research—when it comes to nutrition, honey bees know what they need. This paper focuses specifically on amino acids that make up proteins. There are 10 essential amino acids that healthy honey bees (and other invertebrates) need to get from their food: arginine, histidine, isoleucine, leucine, lysine, methionine, phenylalanine, threonine, tryptophan, and valine. In the current literature, I have yet to find a single pollen source that has all of these essential amino acids. So, what’s a foraging honey bee to do? It’s all about balance.
Hendriksma and Shafir raised honey bee colonies a diet deficient in one of those essential amino acids. After being raised on the deficient diet for two weeks, the scientists gave the bees a choice test. The bees could now choose from three dishes: one with the same diet they were raised on, one with a nutritionally similar diet to the one they were raised on (different diet, same nutritional deficiency), and one with a complementary diet to the one they were raised on (for example, if they were raised on a diet deficient in lysine, this complementary diet had lysine).
Before choice tests, Hendriksma and Shafir ran a few different experiments using the proboscis extension reflex (PER; see video) to make sure the bees could differentiate between the three diets. In a PER test, the bee is held with a tiny harness and tapped on the antennae with some sort of solution. If the bee can taste the solution, she will stick out her proboscis (or bee tongue). Bees can be conditioned in this way by being rewarded for sticking their tongue out for some things but not others (this is how bees can be trained to detect bombs, diabetes, and even cancer). Based on these tests, bees could differentiate between the three diets. During choice tests, diet preference was measured by the amount of diet eaten (as determined by change in weight) and the number of visits made to a dish.
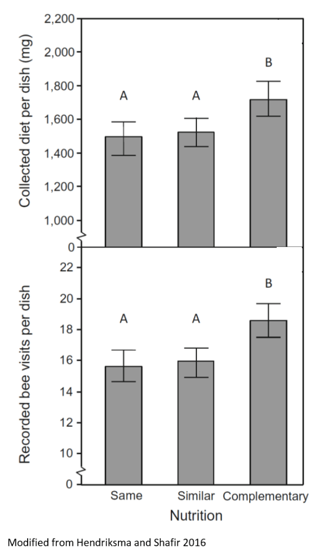
In this choice test, there are three things that could have happened: 1) the bees would eat
from/visit all three diets equally and thus show no nutritional discrimination, 2) the bees would eat less of the “same” diet but equal amounts of the “similar” and “complementary” diets which would suggest bees just like a diverse diet or 3) the bees would eat more of the “complementary” diet and equal amounts of the “same” and “similar” diet, thus actively balancing their specific amino acid deficit.

Both the amount of diet eaten and the number of visits corroborated scenario number 3—foraging bees preferred the nutritionally complementary diet! Bees ate more of the complementary diet (top) and they visited it more often (bottom).
To date, I have only investigated micronutrient (vitamin and mineral) requirements in honey bees; this paper clearly shows that when it comes to macronutrients (in this case, protein), bees know what they need. Unfortunately, when pollinating a large monoculture (California almond orchards can be up to the size of Rhode Island!), it’s unlikely that bees are able to find all that they need. Just like humans, diet diversity and balance is key to a healthy honey bee hive.
Happy Friday!